https://mp.weixin.qq.com/s/D0plzUPgiIa22ZIASo8Fuw
运动抗癌实证!只需10分钟,可增加淋巴瘤患者血液中免疫细胞数量
以下文章来源于医诺维 ,作者医诺维
生命的意义在于运动,运动和健康是正相关的关系。多运动是改善和维持我们身体健康重要的行为之一。
越来越多的研究显示,运动有助于预防心脑血管疾病、糖尿病、肥胖,改善情绪,甚至能改善多种癌症治疗效果。
该研究显示,仅10分钟中等强度运动,就可以增加淋巴瘤患者血液中免疫细胞的数量,尤其是细胞毒性T细胞和自然杀伤细胞,这些免疫细胞可有效破坏癌细胞。
在该研究中,研究人员分析了7例淋巴瘤患者,3例患有霍奇金淋巴瘤,4例患有非霍奇金淋巴瘤,1例是女性,平均年龄为51岁。
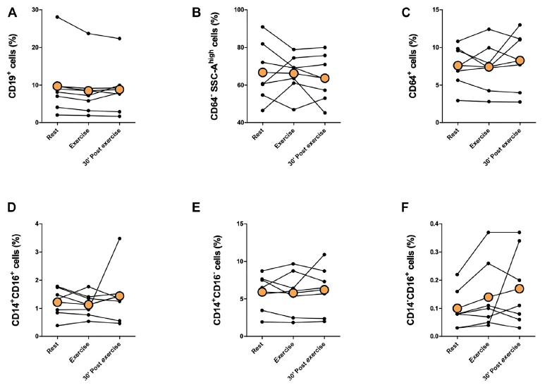
受试者被要求在自行车上进行10分钟的中等运动强度运动,在运动前、运动后、运动30分钟后采集血样,分析了运动对血液中免疫细胞水平的影响。
研究发现,运动增加了能够破坏癌细胞的免疫细胞数量。在运动后,淋巴瘤患者血液中的细胞毒性T细胞和自然杀伤细胞立即增加,并在运动后30分钟时下降回基线水平。
▲运动对免疫细胞水平的影响
这种变化是快速而短暂的,在大多数患者中,运动结束30分钟后,免疫细胞的数量恢复到基线水平。
研究人员表示,特别有趣的是,在两个患者组的锻炼过程中,都看到了细胞毒性免疫细胞的增加,这些免疫细胞能够破坏癌细胞。
▲乳腺癌患者的急性运动反应
此外,研究还发现,运动强度与两组患者免疫细胞数量变化之间存在联系,患者的心率和血压升高得越多,转移到血液中的免疫细胞就越多。
研究表明,运动强度越高,越多的免疫细胞转移到血液中,值得注意的是,仅10分钟的运动就能导致免疫细胞数量增加,这对于抗癌很重要。
目前,研究人员还不清楚,运动后免疫细胞是否会被运送到肿瘤位置,进一步的研究正在进行中。
参考文献:
来源:医诺维
未经允许不得转载:慧康网 » 运动抗癌实证!只需10分钟,可增加淋巴瘤患者血液中免疫细胞数量


